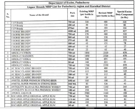
Pondicherry Liquor Price List 2021 / Customers who own gold jewellery can always approach a bank or a gold loan.